Partial Fraction Expansion Repeated Factors Video Khan Academy
B'z LIVEGYM At Your Home共计23条视频,包括:B'z LIVEGYM 19 Whole Lotta NEW LOVE、B'z LIVEGYM Pleasure 18 HINOTORI、B'z LIVEGYM 1718 "LIVE DINOSAUR"、B'z LIVEGYM 15 EPIC NIGHT、B'z LIVEGYM Pleasure 13 ENDLESS SUMMER XXV BEST、B'z LIVEGYM 11 C'mon、B'z LIVEGYM 10 Ain't No Magic at TOKYO DOME、B'z LIVEWeekly B'z The Complete Collection (16 Hours of EnglishSubtitled B'z Concert Footage) 192 GiB 1224 0 4 51 Displaying results 141 out of 41 results
B'z only two
B'z only two-B'z Only Two (TV Movie 12) cast and crew credits, including actors, actresses, directors, writers and moreB'z 25th Anniversary Special 全米ツアー密着ドキュメント 「Only Two」 B'z Web/TV/CS/Radio/Magazine update 真新しい情報こそありませんでしたが、普段観られない光景なんかも垣間見れて面白かったです。 期待外れと言った声も聞こえてきそうですが、ドキュメント
2
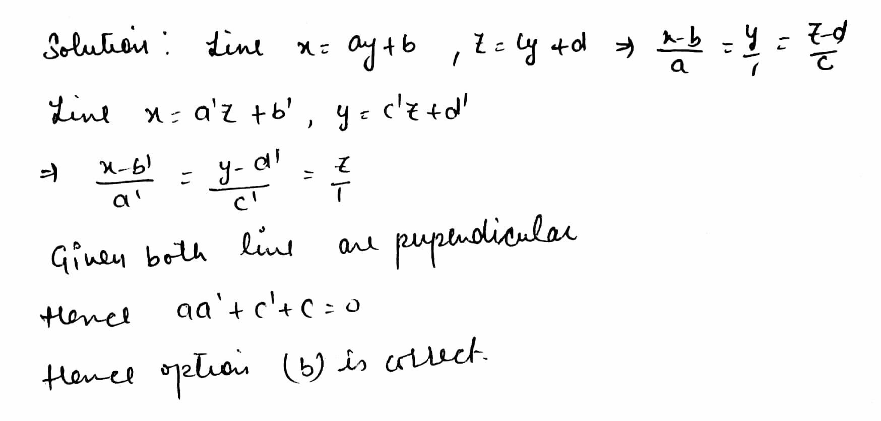
2 Answers It is better if you work with your definition a R B ⇔ 2 divides a b Since a a = 2 a, and 2 divides 2 a for every a, you have that a R a for every a If 2 divides a b, it surely divides b a, therefore a R b ⇒ b R a And now, for the transitive property, let's assume a R b and b R c That is, 2 divides a b and b c B'z Only Two Directed by Mitsuo Watanabe With Bz, Kôshi Inaba, Tak Matsumoto The WOWOWproduced documentary that followed B'z on their most recent and biggest tour of North America, now fully subtitled in English Features numerous performances and interviews of the band as they travel from San Francisco to New York, Los Angeles, Toronto, and more File list B'z ''Only Two'' US Tour Documentary Into Free
Streaming Back to Main menu;
B'z only twoのギャラリー
各画像をクリックすると、ダウンロードまたは拡大表示できます
![]() B Z 25th Anniversary Special Re940の自作dvdラベル | B Z 25th Anniversary Special Re940の自作dvdラベル | B Z 25th Anniversary Special Re940の自作dvdラベル |
![]() B Z 25th Anniversary Special Re940の自作dvdラベル | ![]() B Z 25th Anniversary Special Re940の自作dvdラベル | B Z 25th Anniversary Special Re940の自作dvdラベル |
![]() B Z 25th Anniversary Special Re940の自作dvdラベル | ![]() B Z 25th Anniversary Special Re940の自作dvdラベル | ![]() B Z 25th Anniversary Special Re940の自作dvdラベル |
「B'z only two」の画像ギャラリー、詳細は各画像をクリックしてください。
![]() B Z 25th Anniversary Special Re940の自作dvdラベル | ![]() B Z 25th Anniversary Special Re940の自作dvdラベル | B Z 25th Anniversary Special Re940の自作dvdラベル |
![]() B Z 25th Anniversary Special Re940の自作dvdラベル | ![]() B Z 25th Anniversary Special Re940の自作dvdラベル | ![]() B Z 25th Anniversary Special Re940の自作dvdラベル |
B Z 25th Anniversary Special Re940の自作dvdラベル | ![]() B Z 25th Anniversary Special Re940の自作dvdラベル | ![]() B Z 25th Anniversary Special Re940の自作dvdラベル |
「B'z only two」の画像ギャラリー、詳細は各画像をクリックしてください。
![]() B Z 25th Anniversary Special Re940の自作dvdラベル | ![]() B Z 25th Anniversary Special Re940の自作dvdラベル | ![]() B Z 25th Anniversary Special Re940の自作dvdラベル |
B Z 25th Anniversary Special Re940の自作dvdラベル | ![]() B Z 25th Anniversary Special Re940の自作dvdラベル | ![]() B Z 25th Anniversary Special Re940の自作dvdラベル |
![]() B Z 25th Anniversary Special Re940の自作dvdラベル | ![]() B Z 25th Anniversary Special Re940の自作dvdラベル | ![]() B Z 25th Anniversary Special Re940の自作dvdラベル |
「B'z only two」の画像ギャラリー、詳細は各画像をクリックしてください。
![]() B Z 25th Anniversary Special Re940の自作dvdラベル | ![]() B Z 25th Anniversary Special Re940の自作dvdラベル | ![]() B Z 25th Anniversary Special Re940の自作dvdラベル |
![]() B Z 25th Anniversary Special Re940の自作dvdラベル | ![]() B Z 25th Anniversary Special Re940の自作dvdラベル | ![]() B Z 25th Anniversary Special Re940の自作dvdラベル |
B Z 25th Anniversary Special Re940の自作dvdラベル | ![]() B Z 25th Anniversary Special Re940の自作dvdラベル | ![]() B Z 25th Anniversary Special Re940の自作dvdラベル |
「B'z only two」の画像ギャラリー、詳細は各画像をクリックしてください。
B Z 25th Anniversary Special Re940の自作dvdラベル | ![]() B Z 25th Anniversary Special Re940の自作dvdラベル | ![]() B Z 25th Anniversary Special Re940の自作dvdラベル |
![]() B Z 25th Anniversary Special Re940の自作dvdラベル | B Z 25th Anniversary Special Re940の自作dvdラベル | B Z 25th Anniversary Special Re940の自作dvdラベル |
![]() B Z 25th Anniversary Special Re940の自作dvdラベル | B Z 25th Anniversary Special Re940の自作dvdラベル | ![]() B Z 25th Anniversary Special Re940の自作dvdラベル |
「B'z only two」の画像ギャラリー、詳細は各画像をクリックしてください。
![]() B Z 25th Anniversary Special Re940の自作dvdラベル | ![]() B Z 25th Anniversary Special Re940の自作dvdラベル | ![]() B Z 25th Anniversary Special Re940の自作dvdラベル |
![]() B Z 25th Anniversary Special Re940の自作dvdラベル | ![]() B Z 25th Anniversary Special Re940の自作dvdラベル | ![]() B Z 25th Anniversary Special Re940の自作dvdラベル |
![]() B Z 25th Anniversary Special Re940の自作dvdラベル | ![]() B Z 25th Anniversary Special Re940の自作dvdラベル | ![]() B Z 25th Anniversary Special Re940の自作dvdラベル |
「B'z only two」の画像ギャラリー、詳細は各画像をクリックしてください。
![]() B Z 25th Anniversary Special Re940の自作dvdラベル | ![]() B Z 25th Anniversary Special Re940の自作dvdラベル | ![]() B Z 25th Anniversary Special Re940の自作dvdラベル |
![]() B Z 25th Anniversary Special Re940の自作dvdラベル | B Z 25th Anniversary Special Re940の自作dvdラベル | B Z 25th Anniversary Special Re940の自作dvdラベル |
![]() B Z 25th Anniversary Special Re940の自作dvdラベル | ![]() B Z 25th Anniversary Special Re940の自作dvdラベル | ![]() B Z 25th Anniversary Special Re940の自作dvdラベル |
「B'z only two」の画像ギャラリー、詳細は各画像をクリックしてください。
![]() B Z 25th Anniversary Special Re940の自作dvdラベル | ![]() B Z 25th Anniversary Special Re940の自作dvdラベル | ![]() B Z 25th Anniversary Special Re940の自作dvdラベル |
B Z 25th Anniversary Special Re940の自作dvdラベル | ![]() B Z 25th Anniversary Special Re940の自作dvdラベル | ![]() B Z 25th Anniversary Special Re940の自作dvdラベル |
![]() B Z 25th Anniversary Special Re940の自作dvdラベル | ![]() B Z 25th Anniversary Special Re940の自作dvdラベル | ![]() B Z 25th Anniversary Special Re940の自作dvdラベル |
「B'z only two」の画像ギャラリー、詳細は各画像をクリックしてください。
B Z 25th Anniversary Special Re940の自作dvdラベル | B Z 25th Anniversary Special Re940の自作dvdラベル | ![]() B Z 25th Anniversary Special Re940の自作dvdラベル |
B Z 25th Anniversary Special Re940の自作dvdラベル | B Z 25th Anniversary Special Re940の自作dvdラベル | ![]() B Z 25th Anniversary Special Re940の自作dvdラベル |
![]() B Z 25th Anniversary Special Re940の自作dvdラベル | ![]() B Z 25th Anniversary Special Re940の自作dvdラベル | B Z 25th Anniversary Special Re940の自作dvdラベル |
「B'z only two」の画像ギャラリー、詳細は各画像をクリックしてください。
B Z 25th Anniversary Special Re940の自作dvdラベル | ![]() B Z 25th Anniversary Special Re940の自作dvdラベル | ![]() B Z 25th Anniversary Special Re940の自作dvdラベル |
![]() B Z 25th Anniversary Special Re940の自作dvdラベル | B Z 25th Anniversary Special Re940の自作dvdラベル | ![]() B Z 25th Anniversary Special Re940の自作dvdラベル |
![]() B Z 25th Anniversary Special Re940の自作dvdラベル | ![]() B Z 25th Anniversary Special Re940の自作dvdラベル | B Z 25th Anniversary Special Re940の自作dvdラベル |
「B'z only two」の画像ギャラリー、詳細は各画像をクリックしてください。
B Z 25th Anniversary Special Re940の自作dvdラベル | ![]() B Z 25th Anniversary Special Re940の自作dvdラベル | ![]() B Z 25th Anniversary Special Re940の自作dvdラベル |
![]() B Z 25th Anniversary Special Re940の自作dvdラベル | ![]() B Z 25th Anniversary Special Re940の自作dvdラベル | ![]() B Z 25th Anniversary Special Re940の自作dvdラベル |
![]() B Z 25th Anniversary Special Re940の自作dvdラベル | ![]() B Z 25th Anniversary Special Re940の自作dvdラベル | ![]() B Z 25th Anniversary Special Re940の自作dvdラベル |
「B'z only two」の画像ギャラリー、詳細は各画像をクリックしてください。
B Z 25th Anniversary Special Re940の自作dvdラベル | B Z 25th Anniversary Special Re940の自作dvdラベル | ![]() B Z 25th Anniversary Special Re940の自作dvdラベル |
B Z 25th Anniversary Special Re940の自作dvdラベル | ![]() B Z 25th Anniversary Special Re940の自作dvdラベル |







:quality(70)/cloudfront-us-east-1.images.arcpublishing.com/tronc/XGRZA6S5D6JFC4EKEDXC4CGZSE.jpg)








































































